Ofertas de Emprego!
31-01-2016 11:52
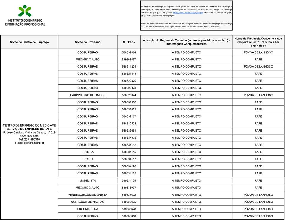
Está à procura de trabalho?
Conheça as ofertas que o Centro de Emprego do Médio Ave – Serviço de Emprego de Fafe, tem para si!
